某公司发行面值为2000万元的8年期债券,票面利率为12%,发行费用率为4%,发行价格2300万元,公司所得税税率为25%,则该债券成本率为()。A:7....

作者: tihaiku 人气: - 评论: 0
问题 某公司发行面值为2000万元的8年期债券,票面利率为12%,发行费用率为4%,发行价格2300万元,公司所得税税率为25%,则该债券成本率为()。
选项 A:7.5% B:8.15% C:10.25% D:13.36%
答案 B
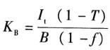
解析 债券成本率计算公式:。式中,KB表示债券成本率;B表示债券筹资额;It表示债券年利息;T表示公司所得税税率;f表示筹资费费率(即筹资费占筹资资金总额的比率)。KB=2000*12%*(1-25%)/[2300*(1-4%)]=8.15%。

相关内容:公司,面值,2000万元,年期,债券,票面,利率,费用率,价格,2300万元,所得税,税率,成本率

猜你喜欢

发表评论
更多 网友评论0 条评论)
暂无评论

访问排行

Copyright © 2012-2014 恰考网 Inc. 保留所有权利。 Powered by tikuer.com

页面耗时0.0398秒, 内存占用1.05 MB, Cache:redis,访问数据库20次