根据以下资料,回答问题:注:表内增速均按可比价格计算若不考虑价格因素,则2003~2011年九年,江苏金融业增加值年均增速VJ,第三产业增加值...

作者: rantiku 人气: - 评论: 0
问题 根据以下资料,回答问题: 注:表内增速均按可比价格计算 若不考虑价格因素,则2003~2011年九年,江苏金融业增加值年均增速VJ,第三产业增加值年均增速VS,地区国内生产总值年均增速VG的大小关系是: A.VS>VJ>VG B.VJ>VG>VS C.VJ>VS>VG D.Vs>VG>VJ
选项
答案 C
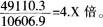
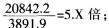
解析 要比较年均增长率,由于年份一致,所以只需比较2011年与2002年的比值即可。 2011年金融业增加值为2002年的 2011年第三产业增加值为2002年的 2011年地区国内生产总值是2002年的所以VJ>VS>VG 。

猜你喜欢

发表评论
更多 网友评论0 条评论)
暂无评论

访问排行

Copyright © 2012-2014 恰考网 Inc. 保留所有权利。 Powered by tikuer.com

页面耗时0.0418秒, 内存占用1.03 MB, Cache:redis,访问数据库20次