2011年全国共发生各类地质灾害15664起,其中,滑坡11490起、崩塌2319起、泥石流 1380起、地面塌陷360起、地裂缝86起、地面沉降29起。...

作者: rantiku 人气: - 评论: 0
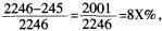
问题 2011年全国共发生各类地质灾害15664起,其中,滑坡11490起、崩塌2319起、泥石流 1380起、地面塌陷360起、地裂缝86起、地面沉降29起。与上年相比,发生数量下降48.9%;造成人员伤亡的地质灾害119起,死亡245人、失踪32人、受伤138人;直接经济损失40.1亿元。 2011年全国发生各类地质灾害造成的死亡人数比上年下降了: A.89.1% B.90.5% C.91.2% D.91.6%
选项
答案 A
解析 由图形可知所求为A项符合。

猜你喜欢

发表评论
更多 网友评论0 条评论)
暂无评论

访问排行

Copyright © 2012-2014 恰考网 Inc. 保留所有权利。 Powered by tikuer.com

页面耗时0.0421秒, 内存占用1.03 MB, Cache:redis,访问数据库20次