下列说法不正确的是()。A.东部地区各省市2010年的商品房单位面积平均售价都比上年有所上涨B.东部地区2010年商品房单位面积平均售价上涨幅...

作者: rantiku 人气: - 评论: 0
问题 下列说法不正确的是()。 A.东部地区各省市2010年的商品房单位面积平均售价都比上年有所上涨 B.东部地区2010年商品房单位面积平均售价上涨幅度低于中西部地区 C.东部地区2009年商品房销售面积占全国的比重略低于50% D.东部地区各省市中2010年商品房单位面积平均售价增速最快的是海南
选项
答案 C
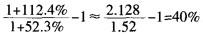
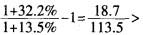
解析 A项,由表格数据很容易看出,东部地区各省市2010年商品房销售面积增速均低于销售额的增速,因此东部地区各省市2010年的商品房单位面积平均售价比上年有所上涨,正确; B项,由143题知,东部地区2010年商品房单位面积平均售价增速为5.76%,由表格可求出中部地区2010年商品房单位面积平均售价增速为,西部地区为,正确; C项,由表格数可求,2009年东部地区商品房销售面积占全国商品房销售面积的比重为 计算难度较大,跳过; D项,由表格可求2010年海南商品房单位面积平均售价比上年上涨了,其他省市2010年商品房单位面积平均售价比上年的涨幅明显低于40%,正确。 综上,符合题意的只有C。

猜你喜欢

发表评论
更多 网友评论0 条评论)
暂无评论

访问排行

Copyright © 2012-2014 恰考网 Inc. 保留所有权利。 Powered by tikuer.com

页面耗时0.0805秒, 内存占用1.03 MB, Cache:redis,访问数据库15次