2009年江苏民航旅客运输量比铁路少()。 A.9644.8 万人 B.9235.5 万人C.8762.2 万人 D.8205.3 万人

作者: rantiku 人气: - 评论: 0
问题 2009年江苏民航旅客运输量比铁路少()。 A.9644.8 万人 B.9235.5 万人 C.8762.2 万人 D.8205.3 万人
选项
答案 C
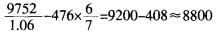
解析 由表格数据可知,2010年江苏铁路旅客运输量为9711.4万人,比上年增长5.9%,民航旅客运输量为475.9万人,比上年增长16.6%。因此2009年江苏民航旅客运输量比铁路少万人,C 项最接近。

猜你喜欢

发表评论
更多 网友评论0 条评论)
暂无评论

访问排行

Copyright © 2012-2014 恰考网 Inc. 保留所有权利。 Powered by tikuer.com

页面耗时0.0732秒, 内存占用1.03 MB, Cache:redis,访问数据库18次