一段路程分成上坡、平路、下坡三段,各段路程长之比依次是1:2:3,某人走各段路所用时间之比依次是4:5:6,已知他上坡时速度为每小时3千米,路程全长50千...

作者: tihaiku 人气: - 评论: 0
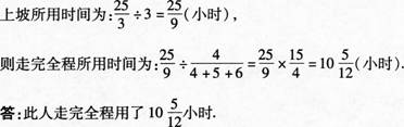
问题 一段路程分成上坡、平路、下坡三段,各段路程长之比依次是1:2:3,某人走各段路所用时间之比依次是4:5:6,已知他上坡时速度为每小时3千米,路程全长50千米,问此人走完全程用了多少时间
选项
答案
解析

相关内容:路程,平路,下坡,各段路,所用,时间,速度,3千米,全长

猜你喜欢

发表评论
更多 网友评论0 条评论)
暂无评论

Copyright © 2012-2014 恰考网 Inc. 保留所有权利。 Powered by tikuer.com

页面耗时0.0442秒, 内存占用1.04 MB, Cache:redis,访问数据库14次