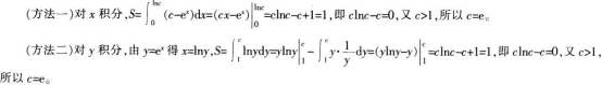
已知曲线y=ex与直线y=c(c>1)及Y轴所围成的平面图形的面积为1,求实数c的值。

作者: tihaiku 人气: - 评论: 0
问题 已知曲线y=ex与直线y=c(c>1)及Y轴所围成的平面图形的面积为1,求实数c的值。
选项
答案
解析

相关内容:曲线,直线,轴所,平面图,面积,实数,的值

猜你喜欢

发表评论
更多 网友评论0 条评论)
暂无评论

Copyright © 2012-2014 恰考网 Inc. 保留所有权利。 Powered by tikuer.com

页面耗时0.0334秒, 内存占用1.04 MB, Cache:redis,访问数据库19次