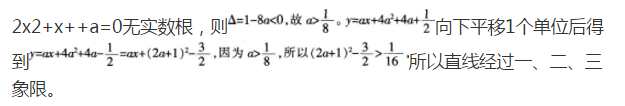
已知关于x的方程2x2+x+a=0无实数根,关于y的方程 向下平移1个单位.则平移后的直线一定不经过( )象限。A.第一 B.第二 C...

作者: tihaiku 人气: - 评论: 0
问题 已知关于x的方程2x2+x+a=0无实数根,关于y的方程 向下平移1个单位.则平移后的直线一定不经过( )象限。
选项 A.第一 B.第二 C.第三 D.第四
答案 D
解析

猜你喜欢

发表评论
更多 网友评论0 条评论)
暂无评论

Copyright © 2012-2014 恰考网 Inc. 保留所有权利。 Powered by tikuer.com

页面耗时0.0345秒, 内存占用1.04 MB, Cache:redis,访问数据库18次