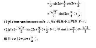
已知向量m=(sinx,cosx),n=(cosx,cosx),f(x)=m*n, (1)求函数f(x)的最小正周期: (2)若f(x)≥1,求f...

作者: tihaiku 人气: - 评论: 0
问题 已知向量m=(sinx,cosx),n=(cosx,cosx),f(x)=m*n, (1)求函数f(x)的最小正周期: (2)若f(x)≥1,求f(x)的取值范围。
选项
答案
解析

猜你喜欢

发表评论
更多 网友评论0 条评论)
暂无评论

Copyright © 2012-2014 恰考网 Inc. 保留所有权利。 Powered by tikuer.com

页面耗时0.0327秒, 内存占用1.02 MB, Cache:redis,访问数据库19次