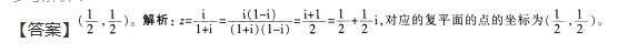
若i是虚数单位,复数z满足(1+i)z=i,则复数2对应的复平面上的点的坐标是____________。

作者: tihaiku 人气: - 评论: 0
问题 若i是虚数单位,复数z满足(1+i)z=i,则复数2对应的复平面上的点的坐标是____________。
选项
答案
解析
  • 上一篇:
  • 下一篇:

猜你喜欢

发表评论
更多 网友评论0 条评论)
暂无评论

Copyright © 2012-2014 恰考网 Inc. 保留所有权利。 Powered by tikuer.com

页面耗时0.0524秒, 内存占用1.01 MB, Cache:redis,访问数据库15次