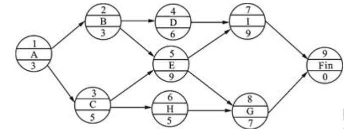
已知某分部工程的进度计划如图3所示单代号网络计划。 根据以上资料,回答下列问题: 该分部工程进度计划的计算工期为()天。A.20 B.22 C...

作者: tihaiku 人气: - 评论: 0
问题 已知某分部工程的进度计划如图3所示单代号网络计划。 根据以上资料,回答下列问题: 该分部工程进度计划的计算工期为()天。
选项 A.20 B.22 C.24 D.26
答案 D
解析 计算工期,是根据网络计划时间参数计算而得到的工期,用TC表示。在单代号网络计划中,TC等于网络计划的终点节点n的最早完成时间EFn,即TC=EFn。本案例中,该分部工程进度计划的计算工期为:TC=3+5+9+9=26(天)。

相关内容:分部,工程,进度,计划,如图,单代号,代号,网络,根据,资料,问题,工期

猜你喜欢

发表评论
更多 网友评论0 条评论)
暂无评论

访问排行

Copyright © 2012-2014 恰考网 Inc. 保留所有权利。 Powered by tikuer.com

页面耗时0.0485秒, 内存占用1.05 MB, Cache:redis,访问数据库19次