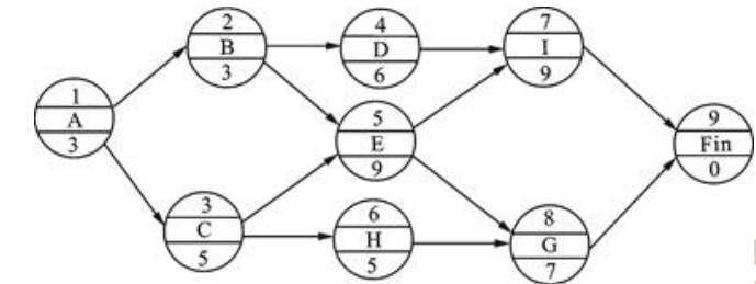
已知某分部工程的进度计划如图3所示单代号网络计划。 根据以上资料,回答下列问题: 该分部工程进度计划中的关键工作为()。A.工作A、C B.工作...

作者: tihaiku 人气: - 评论: 0
问题 已知某分部工程的进度计划如图3所示单代号网络计划。 根据以上资料,回答下列问题: 该分部工程进度计划中的关键工作为()。
选项 A.工作A、C B.工作B、D C.工作G、H D.工作E、I
答案 AD
解析 在单代号网络计划中,工作总时差最小的工作是关键工作。从起点节点开始到终点节点均为关键工作,且所有工作之间的时间间隔均为零的线路为关键线路。本案例中,计算得到相邻两项工作之间的时间间隔分别为:

相关内容:分部,工程,进度,计划,如图,单代号,代号,网络,根据,资料,问题,关键,工作

猜你喜欢

发表评论
更多 网友评论0 条评论)
暂无评论

访问排行

Copyright © 2012-2014 恰考网 Inc. 保留所有权利。 Powered by tikuer.com

页面耗时0.0748秒, 内存占用1.05 MB, Cache:redis,访问数据库19次