某建设项目的建设期为3年,每年的贷款额预计均为400万元,年利率为6%,则应计入建设工程造价的建设期利息是()万元。A.62.92 B.111.64 ...

作者: tihaiku 人气: - 评论: 0
问题 某建设项目的建设期为3年,每年的贷款额预计均为400万元,年利率为6%,则应计入建设工程造价的建设期利息是()万元。
选项 A.62.92 B.111.64 C.113.00 D.216.00
答案 B
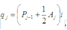
解析 在考虑资金时间价值的前提下,建设期贷款利息实行复利计息。当总贷款是分年分次发放时,为了简化计算,通常假定借款均在每年的年中支用,借款当年按照半年计息,公式为: 式中 qj 建设期第 j 年应计利息; Pj-1 建设期第 j-1 年末贷款余额,它由第 j-1 年末贷款累计再加上此时贷款利息累计; Aj 为建设期第 j 年贷款。则 建设期第 1 年利息=400/2×6%=12(万元),建设期第 2 年利息=(400+12+400/2)×6%=36.72(万元),建设期第 3 年利息=(400+12+400+36.72+400/2) =62.92(万元),即 三年建设期利息=12+36.72+62.92=111.64(万元)。

相关内容:建设,目的,贷款额,400万元,年利率,工程造价,利息,万元,A.62.92,B.111.64

猜你喜欢

发表评论
更多 网友评论0 条评论)
暂无评论

访问排行

Copyright © 2012-2014 恰考网 Inc. 保留所有权利。 Powered by tikuer.com

页面耗时0.0297秒, 内存占用1.05 MB, Cache:redis,访问数据库17次