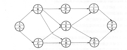
某工程项目的进度计划如下列单代号网络计划所示,时间单位为周。 如果在项目实施过程中各项工作进度正常,则该工程项目可以在()周内完成A.20 B....

作者: tihaiku 人气: - 评论: 0
问题 某工程项目的进度计划如下列单代号网络计划所示,时间单位为周。 如果在项目实施过程中各项工作进度正常,则该工程项目可以在()周内完成
选项 A.20 B.23 C.26 D.28
答案 C
解析 通过标号追踪可以得出:如果在项目实施过程中各项工作进度正常,则该工程项 目可以在26周内完成。

相关内容:工程,目的,进度,计划,单代号,代号,网络,时间,单位,项目,工作,工程项目,周内

猜你喜欢

发表评论
更多 网友评论0 条评论)
暂无评论

访问排行

Copyright © 2012-2014 恰考网 Inc. 保留所有权利。 Powered by tikuer.com

页面耗时0.0425秒, 内存占用1.05 MB, Cache:redis,访问数据库20次