某建设项目主要生产项目投资为3000万元,辅助生产项目投资为700万元,公用工程投资为400万元,工程建设其他费用为400万元。基本预备费费率为12%,建...

作者: tihaiku 人气: - 评论: 0
问题 某建设项目主要生产项目投资为3000万元,辅助生产项目投资为700万元,公用工程投资为400万元,工程建设其他费用为400万元。基本预备费费率为12%,建设期价格上涨指数为5%(基本预备费计入涨价预备费计算基数)。项目建设前期年限为1年,项目建设期2年,建设期第1年完成投资30%,第2年完成投资70%。建设期贷款2000万元,建设期第1年贷款600万元,第2年贷款1400万元,贷款年利率为8%。 该建设项目涨价预备费为()万元。
选项 A.543.39 B.572.48 C.457.67 D.412.55
答案 B
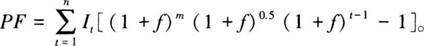
解析 此题考查涨价预备费计算。涨价预备费是指工程项目在建设期间内由于价格等变化引起工程造价变化的预留费用。涨价预备费一般是根据国家规定的投资综合价格指数,按估算年份价格水平的投资额为基数,采用复利方式计算。计算公式为: 本题中,第一年涨价预备费=(3000+700+400+400+540)×30%×[(1+5%)1(1+5%)0.5(1+5%)0-1]=114.81(万元);第二年涨价预备费=(3000+700+400+400+540)×70%×[(1+5%)1 (1+5%)0.5(1+5%)0-1]=457.67(万元)所以涨价预备费合计为114.81+457.67=752.48(万元)。

相关内容:建设项目,生产,项目投资,3000万元,辅助,700万元,公用,工程,投资,400万元,工程建设,预备费,费率

猜你喜欢

发表评论
更多 网友评论0 条评论)
暂无评论

访问排行

Copyright © 2012-2014 恰考网 Inc. 保留所有权利。 Powered by tikuer.com

页面耗时0.0588秒, 内存占用1.04 MB, Cache:redis,访问数据库18次