某建设项目主要生产项目投资为3000万元,辅助生产项目投资为700万元,公用工程投资为400万元,工程建设其他费用为400万元。基本预备费费率为12%,建...

作者: tihaiku 人气: - 评论: 0
问题 某建设项目主要生产项目投资为3000万元,辅助生产项目投资为700万元,公用工程投资为400万元,工程建设其他费用为400万元。基本预备费费率为12%,建设期价格上涨指数为5%(基本预备费计入涨价预备费计算基数)。项目建设前期年限为1年,项目建设期2年,建设期第1年完成投资30%,第2年完成投资70%。建设期贷款2000万元,建设期第1年贷款600万元,第2年贷款1400万元,贷款年利率为8%。 该项目建设期利息约为(  )万元。
选项 A.101.33 B.105.92 C.129.92 D.131.27
答案 C
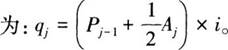
解析 此题考查建设期利息计算。建设期利息包括向国内银行和其他非银行金融机构贷款、出口信贷、外国政府贷款、国际商业银行贷款以及在境内外发行的债券等在建设期内应偿还的贷款利息及其他融资费用。在考虑资金时间价值的前提下,建设期利息实行复利计息。为了简化计算,通常假定借款均在每年的年中支用,借款当年按照半年计息,公式 本题中,第一年利息=(600÷2)×8%=24(万元),第二年利息=(600+24+1400÷2)×8%=105.92(万元),故建设期利息=24+105.92=129.92(万元)。

相关内容:建设项目,生产,项目投资,3000万元,辅助,700万元,公用,工程,投资,400万元,工程建设,预备费,费率

猜你喜欢

发表评论
更多 网友评论0 条评论)
暂无评论

访问排行

Copyright © 2012-2014 恰考网 Inc. 保留所有权利。 Powered by tikuer.com

页面耗时0.0312秒, 内存占用1.05 MB, Cache:redis,访问数据库19次