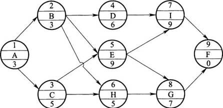
某工程项目的进度计划如以下单代号网络计划所示,时间单位为周。 与双代号网络计划相比,采用单代号网络计划编制该项目讲度计划的优点主要为(  )。A.箭...

作者: tihaiku 人气: - 评论: 0
问题 某工程项目的进度计划如以下单代号网络计划所示,时间单位为周。 与双代号网络计划相比,采用单代号网络计划编制该项目讲度计划的优点主要为(  )。
选项 A.箭线表示工作的持续时间,形象直观 B.各工作之间的逻辑关系易于表达 C.只允许有单项结束工作 D.绘图简单
答案 BD
解析 此题考查单代号网络计划与双代号网络计划比较。单代号网络计划又称节点式网络计划,它是以节点及其编号表示工作,箭线表示工作之间的逻辑关系。在单代号网络计划中,虚工作仅出现在网络图的起点节点或终点节点处。与双代号网络计划相比,单代号网络计划的最大特点是工作之间的逻辑关系易于表达,绘图简单。单代号网络图与双代号网络图的绘图规则基本相同,主要区别在于:当网络图中有多项开始工作时,应增设一项虚工作(S),作为该网络图的起点节点;当网络图中有多项结束工作时,应增设一项虚工作(F),作为该网络图的终点节点。

相关内容:工程,目的,进度,计划,代号,网络,时间,单位,单代号,编制,项目,讲度,优点

猜你喜欢

发表评论
更多 网友评论0 条评论)
暂无评论

访问排行

Copyright © 2012-2014 恰考网 Inc. 保留所有权利。 Powered by tikuer.com

页面耗时0.0424秒, 内存占用1.04 MB, Cache:redis,访问数据库18次