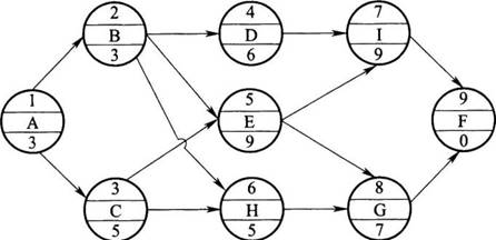
某工程项目的进度计划如以下单代号网络计划所示,时间单位为周。 如果在项目实施过程中各项工作进度正常,则该工程项目可以在(  )周内完成。A.20 ...

作者: tihaiku 人气: - 评论: 0
问题 某工程项目的进度计划如以下单代号网络计划所示,时间单位为周。 如果在项目实施过程中各项工作进度正常,则该工程项目可以在(  )周内完成。
选项 A.20 B.23 C.26 D.28
答案 C
解析 此题考查计算工期。单代号网络计划的计算工期等于其终点节点所代表的工作的最早完成时间。根据计算工作的最早开始时间和最早完成时间方法,通过计算,终点节点代表的工作的最早完成时间为26周。

相关内容:工程,目的,进度,计划,代号,网络,时间,单位,项目,工作,工程项目,周内

猜你喜欢

发表评论
更多 网友评论0 条评论)
暂无评论

访问排行

Copyright © 2012-2014 恰考网 Inc. 保留所有权利。 Powered by tikuer.com

页面耗时0.0463秒, 内存占用1.04 MB, Cache:redis,访问数据库19次