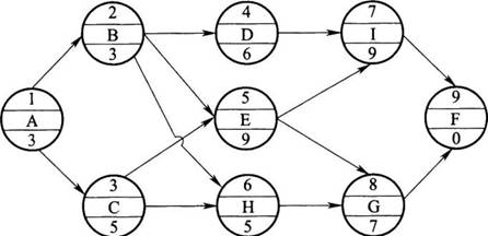
某工程项目的进度计划如以下单代号网络计划所示,时间单位为周。 该单代号网络计划中的关键工作为(  )。A.工作A、C B.工作B、D C.工作E...

作者: tihaiku 人气: - 评论: 0
问题 某工程项目的进度计划如以下单代号网络计划所示,时间单位为周。 该单代号网络计划中的关键工作为(  )。
选项 A.工作A、C B.工作B、D C.工作E、I D.工作H、G
答案 AC
解析 此题考查关键工作的确定。利用相邻两项工作之间的时间间隔确定关键线路:从网络计划的终点节点开始,逆着箭线方向依次找出相邻两项工作之间时间间隔为零的线路就是关键线路。相邻两项工作之间的时间间隔是指其紧后工作的最早开始时间与本工作最早完成时间的差值。通过计算相邻两项工作之间的时间间隔,逆着箭线方向依次找出相邻两项工作之间时间间隔为零的关键线路为A—C—E—I—F,故关键工作为工作A、C和工作E、I、F五项。

相关内容:工程,目的,进度,计划,代号,网络,时间,单位,该单,关键,工作

猜你喜欢

发表评论
更多 网友评论0 条评论)
暂无评论

访问排行

Copyright © 2012-2014 恰考网 Inc. 保留所有权利。 Powered by tikuer.com

页面耗时0.0292秒, 内存占用1.04 MB, Cache:redis,访问数据库13次