某工程项目的进度计划如下列单代号网络计划所示,时间单位为周。 采用网络计划编制该项目进度计划的优点主要为()A.比甘特横道计划更形象、直观 B....

作者: tihaiku 人气: - 评论: 0
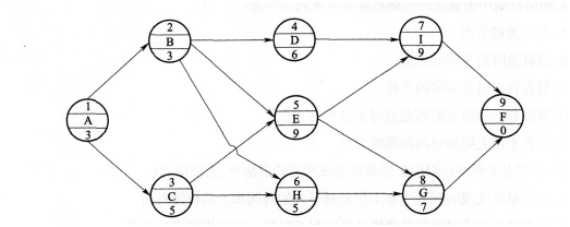
问题 某工程项目的进度计划如下列单代号网络计划所示,时间单位为周。 采用网络计划编制该项目进度计划的优点主要为()
选项 A.比甘特横道计划更形象、直观 B.各工作之间的逻辑关系明确 C.能通过参数计算找出关键工作 D.便于对进度计划进行动态控制
答案 BCD
解析 网络计划的优点有: (1)能全面清楚地表达各项工作之间的相互联系、相互制约的关系。 (2)能通过参数计算找出决定工程进度的关键工作和关键线路。 (3)能通过参数计算,确定非关键工作具有的机动时间,便于挖潜力、保重点。 (4)能比较、优选出最佳方案,合理地进行资源优化配置,达到降低成本的目的。 (5)能利用计算机技术和有关的项目管理软件对羡慕进度计划进行绘制、计算、优化、监控及调整,实现对进度计划的动态控制。

相关内容:工程,目的,进度,计划,单代号,代号,网络,时间,单位,编制,项目,优点,比甘,形象

猜你喜欢

发表评论
更多 网友评论0 条评论)
暂无评论

访问排行

Copyright © 2012-2014 恰考网 Inc. 保留所有权利。 Powered by tikuer.com

页面耗时0.0329秒, 内存占用1.05 MB, Cache:redis,访问数据库18次