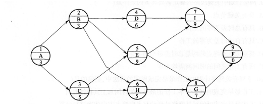
某工程项目的进度计划如下列单代号网络计划所示,时间单位为周。 工程项目进度计划的执行检查中发现,工作D的实际进度拖后了3周,则工作D( )。A....

作者: tihaiku 人气: - 评论: 0
问题 某工程项目的进度计划如下列单代号网络计划所示,时间单位为周。 工程项目进度计划的执行检查中发现,工作D的实际进度拖后了3周,则工作D( )。
选项 A.将使工期拖后3周 B.将使其紧后工作最早开始时间推迟3周 C.不影响总工期 D.不影响其紧后工作的正常进行
答案 CD
解析 通过标号追踪可以看出:工作D有5周的自由时差,所以尽管工作D的实际进度拖后了3周,但既不影响其紧后工作的正常进行,又不影响总工期。

相关内容:工程,目的,进度,计划,单代号,代号,网络,时间,单位,工程项目,检查,工作,实际

猜你喜欢

发表评论
更多 网友评论0 条评论)
暂无评论

访问排行

Copyright © 2012-2014 恰考网 Inc. 保留所有权利。 Powered by tikuer.com

页面耗时0.0376秒, 内存占用1.05 MB, Cache:redis,访问数据库20次