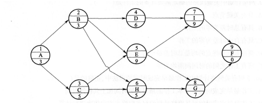
某工程项目的进度计划如下列单代号网络计划所示,时间单位为周。 该单代号网络计划中的关键工作为()。A.工作A、C B.工作B、D C.工作E、...

作者: tihaiku 人气: - 评论: 0
问题 某工程项目的进度计划如下列单代号网络计划所示,时间单位为周。 该单代号网络计划中的关键工作为()。
选项 A.工作A、C B.工作B、D C.工作E、I D.工作H、G
答案 AC
解析 通过标号追踪可以得出:该网络计划的关键线路为:A—C—E—I—F。所以属于关键工作的只有A、C两个选项中的内容。

相关内容:工程,目的,进度,计划,单代号,代号,网络,时间,单位,该单,关键,工作

猜你喜欢

发表评论
更多 网友评论0 条评论)
暂无评论

访问排行

Copyright © 2012-2014 恰考网 Inc. 保留所有权利。 Powered by tikuer.com

页面耗时0.0336秒, 内存占用1.05 MB, Cache:redis,访问数据库18次