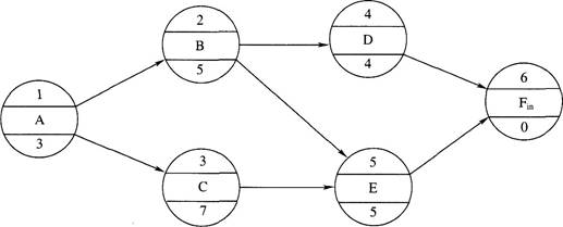
某工程项目的进度计划如下单代号网络图所示,时间单位为周。 下列工作中,属于该工程项目重点控制对象的为(  )。查看材料A.工作B B.工作...

作者: tihaiku 人气: - 评论: 0
问题 某工程项目的进度计划如下单代号网络图所示,时间单位为周。 下列工作中,属于该工程项目重点控制对象的为(  )。查看材料
选项 A.工作B B.工作C C.工作D D.工作E
答案 BD
解析 此题考查项目控制的相关内容。

相关内容:工程,目的,进度,计划,代号,网络,时间,单位,工程项目,重点,控制,对象,材料,工作

猜你喜欢

发表评论
更多 网友评论0 条评论)
暂无评论

访问排行

Copyright © 2012-2014 恰考网 Inc. 保留所有权利。 Powered by tikuer.com

页面耗时0.0392秒, 内存占用1.04 MB, Cache:redis,访问数据库17次