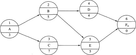
某工程项目的进度计划如下单代号网络图所示,时间单位为周。 工作B的最迟完成时间为第(  )周。查看材料A.10 B.12 C.13 D.14

作者: tihaiku 人气: - 评论: 0
问题 某工程项目的进度计划如下单代号网络图所示,时间单位为周。 工作B的最迟完成时间为第(  )周。查看材料
选项 A.10 B.12 C.13 D.14
答案 A
解析 此题考查单代号网络中最迟完成时间的计算。最迟完成时间应该是紧后工作最迟开始时间。

相关内容:工程,目的,进度,计划,代号,网络,时间,单位,工作,材料

猜你喜欢

发表评论
更多 网友评论0 条评论)
暂无评论

访问排行

Copyright © 2012-2014 恰考网 Inc. 保留所有权利。 Powered by tikuer.com

页面耗时0.0222秒, 内存占用1.04 MB, Cache:redis,访问数据库13次