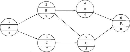
某工程项目的进度计划如下单代号网络图所示,时间单位为周。 若项目实施过程中各项工作进度正常,则该项目可在(  )周内完成。查看材料A.12 ...

作者: tihaiku 人气: - 评论: 0
问题 某工程项目的进度计划如下单代号网络图所示,时间单位为周。 若项目实施过程中各项工作进度正常,则该项目可在(  )周内完成。查看材料
选项 A.12 B.13 C.15 D.16
答案 C
解析 此题考查单代号网络图。3+7+5=15(周)。所以若项目实施过程中各项工作进度正常,则该项目可在15周内完成。

相关内容:工程,目的,进度,计划,代号,网络,时间,单位,项目,工作,可在,周内,材料

猜你喜欢

发表评论
更多 网友评论0 条评论)
暂无评论

访问排行

Copyright © 2012-2014 恰考网 Inc. 保留所有权利。 Powered by tikuer.com

页面耗时0.0395秒, 内存占用1.03 MB, Cache:redis,访问数据库14次