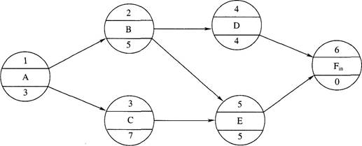
某工程项目的进度计划如下单代号网络图所示,时间单位为周。 下列工作B的时间参数计算结果中,正确的为(  )。查看材料A.自由时差为2周 B...

作者: tihaiku 人气: - 评论: 0
问题 某工程项目的进度计划如下单代号网络图所示,时间单位为周。 下列工作B的时间参数计算结果中,正确的为(  )。查看材料
选项 A.自由时差为2周 B.自由时差为1周 C.总时差为0周 D.总时差为2周
答案 D
解析 此题考查单代号网络时间参数的计算。自由时差是指在不影响其紧后工作最早开始时间的前提下,本工作可以利用的机动时间。

相关内容:工程,目的,进度,计划,代号,网络,时间,单位,工作,参数,结果,材料,时差

猜你喜欢

发表评论
更多 网友评论0 条评论)
暂无评论

访问排行

Copyright © 2012-2014 恰考网 Inc. 保留所有权利。 Powered by tikuer.com

页面耗时0.0360秒, 内存占用1.05 MB, Cache:redis,访问数据库19次