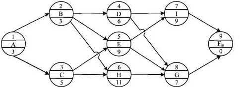
某工程项目的单代号网络计划如下图所示。图中节点下方的数字为该工作的持续时间(单位:月)。 如果该工程项目实施过程中各项工作进度正常,则该项目可以在(...

作者: tihaiku 人气: - 评论: 0
问题 某工程项目的单代号网络计划如下图所示。图中节点下方的数字为该工作的持续时间(单位:月)。 如果该工程项目实施过程中各项工作进度正常,则该项目可以在(  )个月内完成。
选项 A.21 B.24 C.26 D.30
答案 C
解析 此题考查单代号网络计划。完成的路径应该为:①—③—⑥—⑧—⑨,时间为:3+5+11+7+0=26(个月)。

相关内容:工程,目的,单代号,代号,网络,计划,下图,图中,节点,数字,工作,单位,工程项目,进度,项目

猜你喜欢

发表评论
更多 网友评论0 条评论)
暂无评论

访问排行

Copyright © 2012-2014 恰考网 Inc. 保留所有权利。 Powered by tikuer.com

页面耗时0.0307秒, 内存占用1.05 MB, Cache:redis,访问数据库19次