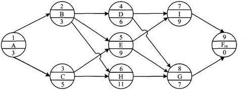
某工程项目的单代号网络计划如下图所示。图中节点下方的数字为该工作的持续时间(单位:月)。 该工程项目进度计划的关键线路为(  )。A.①—②—④—⑦...

作者: tihaiku 人气: - 评论: 0
问题 某工程项目的单代号网络计划如下图所示。图中节点下方的数字为该工作的持续时间(单位:月)。 该工程项目进度计划的关键线路为(  )。
选项 A.①—②—④—⑦—⑨ B.④—③—⑤—⑦—⑨ C.①—②—⑥—⑧—⑨ D.①—③—⑥—⑧—⑨
答案 BD
解析 此题考查网络图的线路。网络图中从起点节点开始,沿箭头方向顺序通过一系列箭线与节点,最后达到终点节点的通路称为线路。线路上各项工作持续时间的总和称为该线路的计算工期。一般网络图有多条线路,可依次用该线路上的节点代号来记述,其中最长的一条线路称为关键线路,位于关键线路上的工作称为关键工作。本题中,①—③—⑥—⑧—⑨为一条关键线路,①—③—⑤—⑦—⑨为另一条关键线路,时间都为26个月。

相关内容:工程,目的,单代号,代号,网络,计划,下图,图中,节点,数字,工作,单位,工程项目,进度,关键,线路

猜你喜欢

发表评论
更多 网友评论0 条评论)
暂无评论

访问排行

Copyright © 2012-2014 恰考网 Inc. 保留所有权利。 Powered by tikuer.com

页面耗时0.0409秒, 内存占用1.05 MB, Cache:redis,访问数据库19次