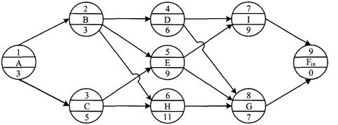
某工程项目的单代号网络计划如下图所示。图中节点下方的数字为该工作的持续时间(单位:月)。 该工程项目进度计划中,工作B的最迟完成时间为第(  )个月...

作者: tihaiku 人气: - 评论: 0
问题 某工程项目的单代号网络计划如下图所示。图中节点下方的数字为该工作的持续时间(单位:月)。 该工程项目进度计划中,工作B的最迟完成时间为第(  )个月。
选项 A.6 B.7 C.8 D.9
答案 C
解析 工作B最迟完成时间为第8个月。

相关内容:工程,目的,单代号,代号,网络,计划,下图,图中,节点,数字,工作,单位,工程项目,进度,时间,个月

猜你喜欢

发表评论
更多 网友评论0 条评论)
暂无评论

访问排行

Copyright © 2012-2014 恰考网 Inc. 保留所有权利。 Powered by tikuer.com

页面耗时0.0336秒, 内存占用1.05 MB, Cache:redis,访问数据库18次