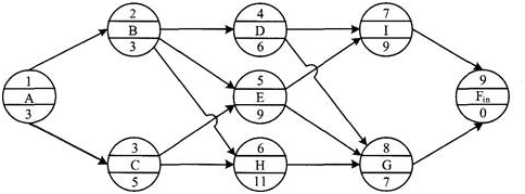
某工程项目的单代号网络计划如下图所示。图中节点下方的数字为该工作的持续时间(单位:月)。 该工程项目进度计划中,工作D的总时差为(  )个月。A.4...

作者: tihaiku 人气: - 评论: 0
问题 某工程项目的单代号网络计划如下图所示。图中节点下方的数字为该工作的持续时间(单位:月)。 该工程项目进度计划中,工作D的总时差为(  )个月。
选项 A.4 B.5 C.6 D.7
答案 D
解析 此题考查工作总时差的计算。总时差等于其最迟开始时间减去最早开始时间,或等于最迟完成时间减去最早完成时间。对于工作D来说,最早完成时间为3+3+6=12(个月),最迟完成时间为26-7=19(个月),因此,工作总时差为19-12=7(个月)。

相关内容:工程,目的,单代号,代号,网络,计划,下图,图中,节点,数字,工作,单位,工程项目,进度,时差,个月,A.4...

猜你喜欢

发表评论
更多 网友评论0 条评论)
暂无评论

访问排行

Copyright © 2012-2014 恰考网 Inc. 保留所有权利。 Powered by tikuer.com

页面耗时0.0649秒, 内存占用1.05 MB, Cache:redis,访问数据库20次