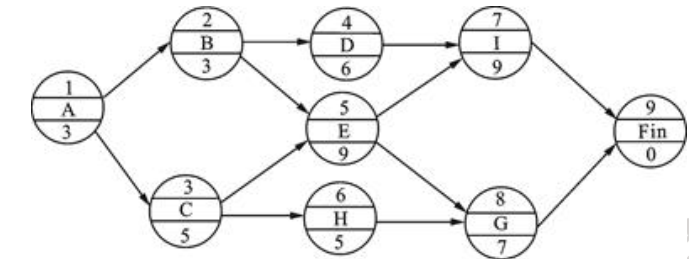
已知某分部工程的进度计划如图3所示单代号网络计划。 根据以上资料,回答下列问题: 工作H的最早完成时间为第()天。A.11 B.12 C.13...

作者: tihaiku 人气: - 评论: 0
问题 已知某分部工程的进度计划如图3所示单代号网络计划。 根据以上资料,回答下列问题: 工作H的最早完成时间为第()天。
选项 A.11 B.12 C.13 D.14
答案 C
解析 单代号网络图中,工作的最早开始时间等于该工作的各个紧前工作的最早完成时间的最大值。工作的最早完成时间等于该工作的最早开始时间加上其持续时间。则各工作最早开始时间与最早完成时间为:

相关内容:分部,工程,进度,计划,如图,单代号,代号,网络,根据,资料,问题,工作,时间,C.13...

猜你喜欢

发表评论
更多 网友评论0 条评论)
暂无评论

访问排行

Copyright © 2012-2014 恰考网 Inc. 保留所有权利。 Powered by tikuer.com

页面耗时0.0764秒, 内存占用1.04 MB, Cache:redis,访问数据库15次