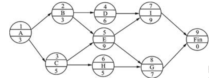
已知某分部工程的进度计划如图3所示单代号网络计划。 根据以上资料,回答下列问题: 工作B的总时差为()。A.2 B.4 C.5 D.7

作者: tihaiku 人气: - 评论: 0
问题 已知某分部工程的进度计划如图3所示单代号网络计划。 根据以上资料,回答下列问题: 工作B的总时差为()。
选项 A.2 B.4 C.5 D.7
答案 A
解析

相关内容:分部,工程,进度,计划,如图,单代号,代号,网络,根据,资料,问题,工作,时差

猜你喜欢

发表评论
更多 网友评论0 条评论)
暂无评论

访问排行

Copyright © 2012-2014 恰考网 Inc. 保留所有权利。 Powered by tikuer.com

页面耗时0.0515秒, 内存占用1.05 MB, Cache:redis,访问数据库19次