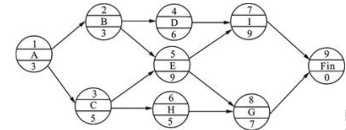
已知某分部工程的进度计划如图3所示单代号网络计划。 根据以上资料,回答下列问题: 在该分部工程进度计划实施中,工作H的实际进度推迟了5天。下列关于...

作者: tihaiku 人气: - 评论: 0
问题 已知某分部工程的进度计划如图3所示单代号网络计划。 根据以上资料,回答下列问题: 在该分部工程进度计划实施中,工作H的实际进度推迟了5天。下列关于工作H的实际进度的说法,正确的为()。
选项 A.工作H将使总工期推迟5天 B.工作H不影响总工期 C.工作H将使紧后工作推迟5天 D.工作H将使紧后工作推迟1天
答案 BD
解析 总时差(TFi—j),是指在不影响总工期的前提下,本工作可以利用的机动时间。自由时差(FFi—j),是指在不影响其紧后工作最早开始的前提下,本工作可以利用的机动时间。因此,当实际进度拖延时间超过总时差时,将会影响总工期,当实际进度拖延时间超过自由时差时,将会影响其紧后工作最早开始时间。工作H的实际进度推迟了5天,未超过其总时差(6天),不影响总工期;超过其自由时差(4天)1天,将使紧后工作推迟1天。

相关内容:分部,工程,进度,计划,如图,单代号,代号,网络,根据,资料,问题,工作,实际

猜你喜欢

发表评论
更多 网友评论0 条评论)
暂无评论

访问排行

Copyright © 2012-2014 恰考网 Inc. 保留所有权利。 Powered by tikuer.com

页面耗时0.0389秒, 内存占用1.05 MB, Cache:redis,访问数据库20次