某债券面值100元,每半年付息一次,利息5元,债券期限为5年,若一投资者在该债券发行时以118.66元购得,则其实际的年收益率是()。A:5.88% B...

作者: tihaiku 人气: - 评论: 0
问题 某债券面值100元,每半年付息一次,利息5元,债券期限为5年,若一投资者在该债券发行时以118.66元购得,则其实际的年收益率是()。
选项 A:5.88% B:6.09% C:6.25% D:6.41%
答案 B
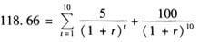
解析 半年收益率计算公式为:,得出r=3%,则实际年收益率为(1+r)2-1=6.09%。

相关内容:债券,面值,100元,利息,期限,投资者,118.66元,实际,收益率

猜你喜欢

发表评论
更多 网友评论0 条评论)
暂无评论

访问排行

Copyright © 2012-2014 恰考网 Inc. 保留所有权利。 Powered by tikuer.com

页面耗时0.0432秒, 内存占用1.04 MB, Cache:redis,访问数据库19次