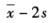
下列图形中箭头所指的“点”违背了West-gard基本质控规则中的A:12s B:13s C:22s D:R4s E:10Xbar

作者: tihaiku 人气: - 评论: 0
问题 下列图形中箭头所指的“点”违背了West-gard基本质控规则中的
选项 A:12s B:13s C:22s D:R4s E:10Xbar
答案 C
解析 Westgard推荐下列6个基本质控规则,其定义如下①12s:一个质控测定值超过质控限,作为警告;②13s:一个质控测定值超过质控限,则判断为该分析批失控;③22s:当两个连续的质控测定值同时超过,则判断为失控,这两个测定值可以来自同一个质控物,也可以是两个不同的质控物;④R4s:当同一批内高和低的质控测定值之间的差或极差超过4s时,则判断为失控;⑤41s:当4个连续的质控测定值同时超过,则判断为失控;⑥10X:当10个连续的质控测定值落在平均值的同一侧,则判断为失控。

猜你喜欢

发表评论
更多 网友评论0 条评论)
暂无评论

Copyright © 2012-2014 恰考网 Inc. 保留所有权利。 Powered by tikuer.com

页面耗时0.0460秒, 内存占用1.04 MB, Cache:redis,访问数据库20次