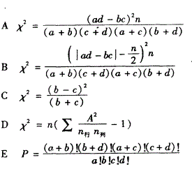
在四格表的X2检验中,若T 1或n≤40时应选用

作者: rantiku 人气: - 评论: 0
问题 在四格表的X2检验中,若T 1或n≤40时应选用
选项
答案 E
解析

猜你喜欢

发表评论
更多 网友评论0 条评论)
暂无评论

访问排行

Copyright © 2012-2014 恰考网 Inc. 保留所有权利。 Powered by tikuer.com

页面耗时0.0531秒, 内存占用1.01 MB, Cache:redis,访问数据库17次