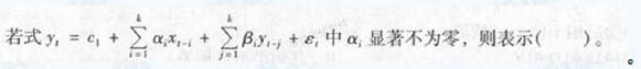
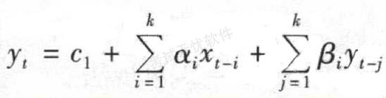
A x格兰杰引起y B y格兰杰引起x C x与y互为格兰杰因果关系 D x、y互为因果关系

作者: tihaiku 人气: - 评论: 0
问题
选项 A x格兰杰引起y B y格兰杰引起x C x与y互为格兰杰因果关系 D x、y互为因果关系
答案 A
解析 对于两个变量x、y进行格兰杰因果关系检验,若式

猜你喜欢

发表评论
更多 网友评论0 条评论)
暂无评论

Copyright © 2012-2014 恰考网 Inc. 保留所有权利。 Powered by tikuer.com

页面耗时0.0471秒, 内存占用1.03 MB, Cache:redis,访问数据库20次