某商场从一批袋装食品中随机抽取10袋,测得每袋重量(单位:克)分别为789,780,794,762,802,813,770,785,810,806,假设重...

作者: tihaiku 人气: - 评论: 0
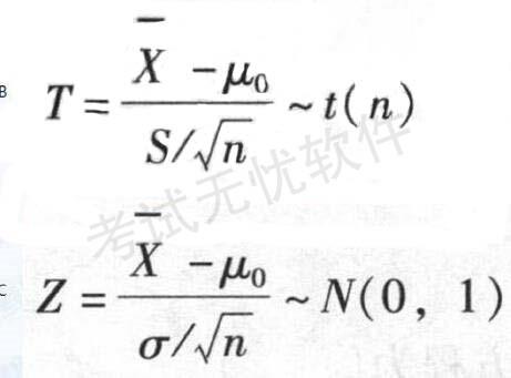
问题 某商场从一批袋装食品中随机抽取10袋,测得每袋重量(单位:克)分别为789,780,794,762,802,813,770,785,810,806,假设重量服从正态分布,要求在5%的显著性水平下,检验这批食品平均每袋重量是否为800克。据此回答以下四题。 选择的检验统计量是()。
选项
答案 A
解析 总体方差未知,故选取t统计量,即

相关内容:商场,食品,抽取,每袋,重量,单位,假设

猜你喜欢

发表评论
更多 网友评论0 条评论)
暂无评论

Copyright © 2012-2014 恰考网 Inc. 保留所有权利。 Powered by tikuer.com

页面耗时0.0349秒, 内存占用1.05 MB, Cache:redis,访问数据库19次