某商场从一批袋装食品中随机抽取10袋,测得每袋重量(单位:克)分别为789,780,794,762,802,813,770,785,810,806,假设重...

作者: tihaiku 人气: - 评论: 0
问题 某商场从一批袋装食品中随机抽取10袋,测得每袋重量(单位:克)分别为789,780,794,762,802,813,770,785,810,806,假设重量服从正态分布,要求在5%的显著性水平下,检验这批食品平均每袋重量是否为800克。据此回答以下四题。 假设检验的拒绝域是()。
选项 A (-∞,-Zα/2)∪(Zα/2,+∞) B (-∞,-tα/2)∪[tα/2,+∞),tα/2=tα/2(n) C (-∞,-tα/2)∪[tα/2,+∞),tα/2=tα/2(n-2) D (tα,+∞)
答案 C
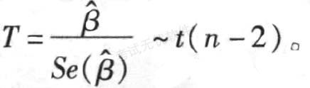
解析 当总体服从正态分布,总体方差未知时,构造t统计量: 当 t >tα/2(n-2)时,拒绝原假设。所以原假设的拒绝域为:(-∞,-tα/2)∪[tα/2,+∞),tα/2=tα/2(n-2)

猜你喜欢

发表评论
更多 网友评论0 条评论)
暂无评论

Copyright © 2012-2014 恰考网 Inc. 保留所有权利。 Powered by tikuer.com

页面耗时0.0330秒, 内存占用1.03 MB, Cache:redis,访问数据库17次