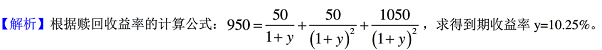
某4年期债券,面值为1000元,息票利率为5%。现以950 元的发行价向全社会公开发行,2年后债券发行人以1050元的价格赎回。 若首次赎回日为付...

作者: rantiku 人气: - 评论: 0
问题 某4年期债券,面值为1000元,息票利率为5%。现以950 元的发行价向全社会公开发行,2年后债券发行人以1050元的价格赎回。 若首次赎回日为付息日后的第个交易日,则其赎回收益率为( )。
选项 A: 7.61% B: 9.68% C: 10.03% D: 10.25%
答案 D
解析

猜你喜欢

发表评论
更多 网友评论0 条评论)
暂无评论

Copyright © 2012-2014 恰考网 Inc. 保留所有权利。 Powered by tikuer.com

页面耗时0.0275秒, 内存占用1.03 MB, Cache:redis,访问数据库18次