某债券的而值1OOO元,票而利率为5%,期限为4年,每年付息一次。现以950 元的发行价向全社会公开发行,则该债券的到期收益率为( )。A: 5% ...

作者: rantiku 人气: - 评论: 0
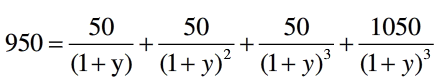
问题 某债券的而值1OOO元,票而利率为5%,期限为4年,每年付息一次。现以950 元的发行价向全社会公开发行,则该债券的到期收益率为( )。
选项 A: 5% B: 6% C: 6.46% D: 7.42%
答案 C
解析 根据到期收益率的计算公式:求得,到期收益率y=6.46%

猜你喜欢

发表评论
更多 网友评论0 条评论)
暂无评论

访问排行

Copyright © 2012-2014 恰考网 Inc. 保留所有权利。 Powered by tikuer.com

页面耗时0.0708秒, 内存占用1.03 MB, Cache:redis,访问数据库20次