王女士32岁。与丈夫分居两年,目前带着8岁的女儿与父母一起生活。 王女士父亲今年60岁,刚退休;母亲56岁,还在工作。 根据上述家庭资料,社会工作...

作者: rantiku 人气: - 评论: 0
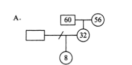
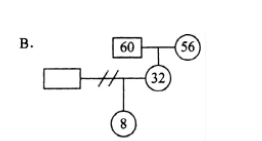
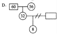
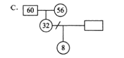
问题 王女士32岁。与丈夫分居两年,目前带着8岁的女儿与父母一起生活。 王女士父亲今年60岁,刚退休;母亲56岁,还在工作。 根据上述家庭资料,社会工作者绘制的家庭结构图中,正确的是( )。
选项
答案 A
解析 B项表示的王女士与丈夫是离婚的关系,故错误;C、D项违背了夫妻关系中“男在左, 女在右”的基本原则,而且C项表示女儿与王女士丈夫生活在一起,D 项表示王女士与丈夫是离婚关系,故不选。综上所述。A项正确。

猜你喜欢

发表评论
更多 网友评论0 条评论)
暂无评论

访问排行

Copyright © 2012-2014 恰考网 Inc. 保留所有权利。 Powered by tikuer.com

页面耗时0.0355秒, 内存占用1.03 MB, Cache:redis,访问数据库19次