现在将编号为1、2、3、4、5、6的6个球分别放入编号为1、2、3、4、5、6的6个盒子里,每个盒子放1个球。请问,恰好有2个盒子编号与球编号一样的投放方...

作者: rantiku 人气: - 评论: 0
问题 现在将编号为1、2、3、4、5、6的6个球分别放入编号为1、2、3、4、5、6的6个盒子里,每个盒子放1个球。请问,恰好有2个盒子编号与球编号一样的投放方法有多少种? A.15 B.24 C.135 D.270
选项
答案 C
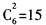
解析 首先选出2个编号和球一样的盒子,有种方法;剩余的4个再进行错位重排,有3x3=9种方法。因此一共有15x9=135种方法。

猜你喜欢

发表评论
更多 网友评论0 条评论)
暂无评论

访问排行

Copyright © 2012-2014 恰考网 Inc. 保留所有权利。 Powered by tikuer.com

页面耗时0.0838秒, 内存占用1.03 MB, Cache:redis,访问数据库18次