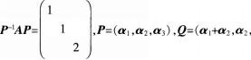
设A为3阶矩阵.P为3阶可逆矩阵,且A. B. C. D.

作者: rantiku 人气: - 评论: 0
问题 设A为3阶矩阵.P为3阶可逆矩阵,且
选项 A. B. C. D.
答案 B
解析 故选B。

猜你喜欢

发表评论
更多 网友评论0 条评论)
暂无评论

Copyright © 2012-2014 恰考网 Inc. 保留所有权利。 Powered by tikuer.com

页面耗时0.0376秒, 内存占用1.01 MB, Cache:redis,访问数据库20次