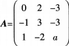
设矩阵阳似于矩阵 (1)求a,b的值; (2)求可逆矩阵P,使P-AP为对角矩阵。

作者: rantiku 人气: - 评论: 0
问题 设矩阵阳似于矩阵 (1)求a,b的值; (2)求可逆矩阵P,使P-
选项 AP为对角矩阵。
答案
解析 显然可求得B的特征值为1,1,5,从而A的特征值为1,1,5,当A=1时 从而解得属于特征值1的线性无关的特征向量为dl=(2,1,O)Ta2-(3,0,-1)T。同理,解得属于特征值5的特征向量a3=(1,1,一l)T.

猜你喜欢

发表评论
更多 网友评论0 条评论)
暂无评论

Copyright © 2012-2014 恰考网 Inc. 保留所有权利。 Powered by tikuer.com

页面耗时0.0445秒, 内存占用1.01 MB, Cache:redis,访问数据库20次