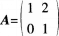
已知直线/:ax+y=1在矩阵对应的变换作用下变为直线Z:x+by=l (1)求实数a,b的值; (2)若点P(x。,yo)在直线Z求点P的坐标。

作者: tihaiku 人气: - 评论: 0
问题 已知直线/:ax+y=1在矩阵对应的变换作用下变为直线Z:x+by=l (1)求实数a,b的值; (2)若点P(x。,yo)在直线Z求点P的坐标。
选项
答案
解析 (1) (2)

猜你喜欢

发表评论
更多 网友评论0 条评论)
暂无评论

Copyright © 2012-2014 恰考网 Inc. 保留所有权利。 Powered by tikuer.com

页面耗时0.0338秒, 内存占用1.04 MB, Cache:redis,访问数据库18次