设函数f(x)在定义域,上的导数大于零,若对任意的 处的切线与直线x≈x0及戈轴所围成区域的面积恒为4,且f(0)=2,求f(x)的表达式。

作者: tihaiku 人气: - 评论: 0
问题 设函数f(x)在定义域,上的导数大于零,若对任意的 处的切线与直线x≈x0及戈轴所围成区域的面积恒为4,且f(0)=2,求f(x)的表达式。
选项
答案
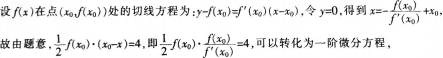
解析

相关内容:函数,定义域,导数,切线,直线,戈轴所,区域,面积,表达式

猜你喜欢

发表评论
更多 网友评论0 条评论)
暂无评论

Copyright © 2012-2014 恰考网 Inc. 保留所有权利。 Powered by tikuer.com

页面耗时0.0288秒, 内存占用1.04 MB, Cache:redis,访问数据库18次