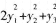
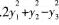
设二次型f(x1,x2,x3)在正交变换为x=py下的标准形为 若Q=(e1-e3,e2),则f(x1,x2,x3)在正交变换x=Qy下的标准型为( )...

作者: tihaiku 人气: - 评论: 0
问题 设二次型f(x1,x2,x3)在正交变换为x=py下的标准形为 若Q=(e1-e3,e2),则f(x1,x2,x3)在正交变换x=Qy下的标准型为( )。 A. B. C. D.
选项
答案 A
解析

相关内容:二次型,标准

猜你喜欢

发表评论
更多 网友评论0 条评论)
暂无评论

Copyright © 2012-2014 恰考网 Inc. 保留所有权利。 Powered by tikuer.com

页面耗时0.0520秒, 内存占用1.03 MB, Cache:redis,访问数据库14次