下列多项式为二次型的是()。

作者: tihaiku 人气: - 评论: 0
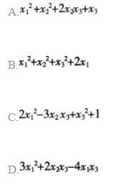
问题 下列多项式为二次型的是()。
选项
答案 D
解析 设P是一数域,一个系数在数域P中的二次齐次多项式 称为数域P上的一个n元二次型。二次齐次多项式不包含一次项和常数项。所以由定义可知D选项正确。

猜你喜欢

发表评论
更多 网友评论0 条评论)
暂无评论

Copyright © 2012-2014 恰考网 Inc. 保留所有权利。 Powered by tikuer.com

页面耗时0.0595秒, 内存占用1.03 MB, Cache:redis,访问数据库17次