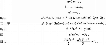
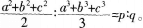
若方程的三个根是a、6、c,求证:

作者: tihaiku 人气: - 评论: 0
问题 若方程的三个根是a、6、c,求证:
选项
答案
解析 证明:由一元三次方程的根与系数的关系,得

相关内容:方程,三个

猜你喜欢

发表评论
更多 网友评论0 条评论)
暂无评论

Copyright © 2012-2014 恰考网 Inc. 保留所有权利。 Powered by tikuer.com

页面耗时0.0319秒, 内存占用1.04 MB, Cache:redis,访问数据库18次